Поделиться
Как накопить миллион за год: сколько откладывать, куда вложить и что учесть

Реально ли накопить миллион за год
Короткий ответ — да, при достаточно высоком уровне дохода и дисциплине в накоплениях.
Если считать без процентной доходности, чтобы накопить миллион, нужно откладывать фиксированную сумму:
- 1 млн / 12 = 83 333,33 ₽ в месяц
Если использовать накопительные счета или вклады со ставкой 16% годовых, нагрузка снижается до 77 059,13 ₽ в месяц. Разница — 6274,20 ₽ за месяц и 75 290,40 ₽ за год.
Тем не менее 77 000 — это тоже довольно внушительная сумма. Поэтому важнее, сколько вы зарабатываете.
При доходе 50 000 – 60 000 ₽ накопить миллион за год без дополнительных источников невозможно. При доходе от 120 000 ₽ цель становится более достижимой, а при 150 000 ₽ и выше — уже хорошо управляемой. Но конкретный ответ зависит от того, есть ли у вас дополнительная финансовая нагрузка — например, аренда или кредиты.
Сколько откладывать в месяц: разбираем на примерах
Мы выяснили, что, если копить миллион без процентов, нужно откладывать по 83 333,33 ₽ в месяц. Такой расчет полезен как отправная точка, он показывает, насколько агрессивной является цель.
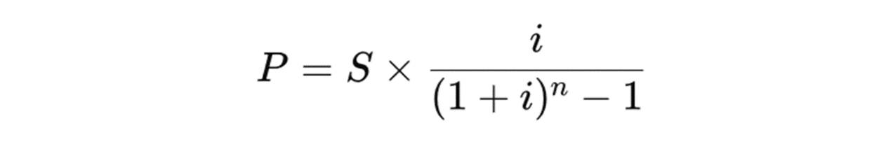
Когда деньги размещаются под процент, итоговая нагрузка снижается. Точный размер взносов рассчитывается по формуле:

где:
- P — ежемесячный платеж.
- S — целевая сумма (в нашем случае 1 млн ₽).
- i — месячная процентная ставка (годовая / 12).
- n — количество месяцев.
Примеры ежемесячной суммы накоплений при разных ставках:
| Ставка | Ежемесячный взнос |
|---|---|
| 10% годовых | 79 582,14 ₽ |
| 12% годовых | 79 019,57 ₽ |
| 14% годовых | 78 514,76 ₽ |
| 16% годовых | 77 059,13 ₽ |
Разница между 10% и 16% составляет 2523,01 ₽ в месяц. Это наглядно показывает, что повышение ставки не способно компенсировать недостаток дохода или нерегулярные взносы. Поэтому к процентному доходу стоит относиться не как к основе стратегии, а как к ее усилителю.
Сколько откладывать при разных ставках и сроках
| Срок / ставка | 1 год | 1,5 года | 2 года | 3 года |
|---|---|---|---|---|
| 0% | 83 333,33 | 55 555,56 | 41 666,67 | 27 777,78 |
| 10% | 79 582,14 | 52 146,87 | 38 273,46 | 24 982,41 |
| 12% | 79 019,57 | 51 061,41 | 37 147,86 | 24 039,78 |
| 14% | 78 514,76 | 50 862,91 | 37 001,92 | 23 856,19 |
| 16% | 77 059,13 | 49 726,83 | 35 907,66 | 22 879,64 |
Чем длиннее срок, тем меньше нагрузка на бюджет. Поэтому, если вы понимаете, что при сроке в год ежемесячный взнос слишком велик, можно увеличить период до достижения цели и двигаться в том темпе, который будет для вас комфортнее. Но важно соблюдать регулярность.
Чтобы подобрать вклад под ваши цели, можно использовать калькулятор, он покажет самые выгодные предложения для нужных суммы и срока:
Куда положить деньги, чтобы накопить миллион за год
ыбор инструмента для накоплений зависит от горизонта и готовности к риску. В случае с 12 месяцами приоритет — предсказуемость результата. Здесь важно не максимизировать доходность, а сделать так, чтобы деньги действительно накопились к нужному сроку. Рассмотрим несколько потенциальных инструментов и их особенности.
Вклад
Это базовый инструмент для таких задач. Он дает фиксированную доходность, понятный результат и минимальный риск. К тому же система страхования вкладов покрывает сумму до 1,4 млн ₽ на случай проблем со стороны банка.
Однако есть нюансы. Вклад ограничивает доступ к деньгам: при досрочном снятии проценты чаще всего пересчитываются по ставке 0,01% годовых. А вклады с возможностью пополнения обычно предлагают более низкую ставку.
Но можно обойти эту проблему, открыв несколько краткосрочных вкладов. На Финуслугах есть предложения со ставками до 25% годовых.
Накопительный счет
Этот инструмент дает гибкость, которой не хватает вкладу. Вы можете свободно пополнять счет, снимать деньги при необходимости и не терять уже начисленные проценты. Но за эту гибкость приходится платить — после приветственного периода ставка обычно ниже и может измениться в любой момент. Для сравнения: ставки по вкладам фиксируются на весь срок.
Можно сочетать накопительный счет и вклад: копить определенную сумму на счете, а затем переводить ее на вклад.
Облигации (ОФЗ и надежные корпоративные)
Облигации могут дать доходность, сопоставимую с вкладом, но добавляют рыночный фактор. Если держать их в портфеле до погашения, результат предсказуем, потому что эмитент выкупает бумагу по цене номинала. Но при продаже раньше срока цена может измениться, и это создает риск получить доходность ниже ожидаемой.
БПИФ денежного рынка
Доходность таких фондов близка к ключевой ставке, а деньги можно вывести практически в любой момент. Однако ставка не фиксирована, а часть дохода съедают комиссии фонда и брокера.
ИИС-3
Несмотря на привлекательный налоговый вычет и льготы, этот инструмент не подходит под краткосрочные цели. Ограничение в пять лет и более (в зависимости от даты открытия счета) делает его несовместимым с задачей накопить деньги за 12 месяцев.
Программа долгосрочных сбережений
ПДС — это инструмент с государственной поддержкой, но он рассчитан на долгий горизонт. Его можно рассматривать как отдельную стратегию, но не как решение текущей задачи.
Сравнение инструментов
| Инструмент | Доходность | Ликвидность | Риск | Подходит на 1 год |
|---|---|---|---|---|
| Вклад | Фиксированная | Низкая | Низкий | Да |
| Накопительный счет | Плавающая | Высокая | Низкий | Да |
| ОФЗ | Рыночная | Средняя | Низкий | Условно |
| БПИФ | Рыночная | Высокая | Низкий | Да |
| ИИС | Высокая | Низкая | Средний | Нет |
| ПДС | Высокая | Очень низкая | Низкий | Нет |
Как выбрать инструмент под свою цель
Если деньги точно не понадобятся в течение определенного срока, оптимальным решением будет вклад. Если важна гибкость и возможность оперативно реагировать на изменения, лучше подойдет накопительный счет.
Тем, кто уже использует брокерский счет и разбирается в инвестициях, имеет смысл рассмотреть комбинацию инструментов. Но усложнять стратегию без необходимости не стоит: чем проще схема, тем выше вероятность, что она будет реализована.
Сколько нужно зарабатывать, чтобы накопить миллион
Если взять за пример взнос 77 059,13 ₽ в месяц (при доходности 16% годовых), картина будет выглядеть следующим образом:
- При доходе 80 000 ₽ надо откладывать 96,32%, то есть почти весь доход.
- При 120 000 ₽ — 64,22%.
- При 150 000 ₽ — 51,37%.
- При 200 000 ₽ — 38,53%.
При доходе ниже 120 000 ₽ цель требует либо экстремальной экономии, либо наличия дополнительных источников дохода, либо более длинного срока до ее достижения. При доходе от 150 000 ₽ нагрузка становится более управляемой.
Как найти деньги на накопления
Сначала важно понять, куда уходят деньги. Поэтому формирование накоплений лучше начинать с пересмотра бюджета в пользу цели. Даже короткий период учета расходов позволяет отследить и устранить повторяющиеся лишние траты.
Но важно учесть, что оптимизация расходов ограничена. Основную нагрузку на бюджет дают крупные категории — аренда жилья или ипотека, образование, питание, транспорт. Мелкие привычки тоже оказывают влияние, но оно может быть не таким большим, чтобы высвободить нужную сумму под накопления.
В ряде случаев ключевым фактором становится рост дохода. Повышение зарплаты или дополнительная занятость дает более быстрый и устойчивый результат, чем постоянное сокращение расходов.
У экономии есть предел: если вам приходится практически голодать и вести крайне аскетичный образ жизни в течение целого года ради того, чтобы накопить миллион, может быть, имеет смысл поставить более реалистичную цель, изменив сумму или срок, но сохранив комфортный уровень жизни.
Налоги: что учесть при накоплениях
Процентный доход по вкладам физических лиц облагается НДФЛ. Но есть необлагаемый лимит.
Он рассчитывается по формуле:
1 млн ₽ × максимальная ключевая ставка ЦБ на первый день месяца в течение года.
Если ключевая ставка за 2026 год не поднимется выше 16%, необлагаемая база составит 160 000 ₽.
Это означает, что при процентном доходе ниже этого уровня налог платить не нужно. Если доход выше, налог начисляется только на разницу между суммой дохода и необлагаемым лимитом. Налоговая ставка составляет 13% при совокупном доходе до 2,4 млн ₽ и 15% с суммы выше.
Налог рассчитывается автоматически. Оплатить его нужно до 1 декабря следующего года.
Типичные ошибки
Ошибки в накоплениях могут быть связаны с базовой организацией процесса и пониманием того, как деньги теряют свою покупательную способность. Деньги, которые просто лежат на карте, неизбежно обесцениваются под воздействием инфляции.
Примеры ошибок:
- Отсутствие подушки безопасности. В случае непредвиденных расходов придется залезать в накопления.
- Ставка только на один инструмент. Комбинированный подход из нескольких вкладов с разными сроками и ставками или вклад + накопительный счет может быть более выгодным и гибким.
- Игнорирование инфляции. При уровне инфляции 5% в год 1 млн ₽ по покупательной способности будет соответствовать сегодняшним 952 380,95 ₽. Чем сильнее инфляция, тем больше будут обесцениваться накопления. Поэтому процентный доход должен быть выше уровня инфляции.
- Пропуск регулярных взносов. Если не откладывать деньги хотя бы два месяца из двенадцати, нагрузка значительно возрастает и цель становится сложнее достичь.
Если миллион за год — нереально
Если вы понимаете, что не сможете накопить миллион за год, это не значит, что от цели нужно отказываться. Достаточно скорректировать параметры:
- Увеличьте время до достижения цели. За два-три года накопить миллион может быть гораздо легче.
- Уменьшите целевой размер суммы. Если нет конкретной цели, ради которой нужен именно миллион, может быть, сначала лучше накопить 500 000 ₽.
- Изучите способы повысить доход. Но помните, что слишком тяжелая нагрузка может негативно сказываться не только на физическом и эмоциональном состоянии.
План действий на год
Определите цель (в нашем случае — 1 млн ₽ за год).
2. Посчитайте сумму ежемесячного взноса.
3. Выберите инструмент (например, вклад).
4. Установите напоминание пополнить накопительный счет в начале месяца или настройте автоперевод.
5. Контролируйте состояние счетов раз в месяц.
6. Корректируйте план при изменении ставок по вкладам, накопительным счетам и другим инструментам.
Вывод
Возможность накопить миллион за год зависит не только от мотивации. В среднем потребуется откладывать от 77 000 до 83 000 ₽ в месяц. Поэтому ключевую роль играют уровень дохода и регулярность пополнений: именно они определяют, достижима ли цель в заданный срок.
Оптимальным инструментом для накоплений чаще всего становится вклад — он дает фиксированную доходность и предсказуемый результат. Если же сумма кажется слишком высокой, разумнее скорректировать срок, чем пытаться выполнить нереалистичный план и сойти с дистанции.
Чтобы закрепить результат и не переплачивать за неправильный выбор, стоит заранее сравнить условия и рассчитать доходность. Подобрать вклад можно на Финуслугах — здесь можно сравнить актуальные ставки и выбрать подходящий вариант под ваш сценарий накоплений.





























