Поделиться
Как накопить 5 млн, откладывая по 10 000 ₽ в месяц

Сколько лет понадобится, чтобы накопить 5 млн ₽ без инвестиций
Если просто откладывать деньги на банковский счет без начисления процентного дохода сверху, за год мы накопим 120 000. А чтобы получить 5 млн ₽ нам понадобится чуть больше 41,6 лет.
Это достаточно долгий срок. Начав откладывать деньги с 20 лет, мы накопим нужную сумму к 61,5 году.
Копить с помощью инвестиций: сила сложного процента
Если же мы будем не просто откладывать, а инвестировать деньги в надежные инструменты, срок до желаемой суммы существенно сократится.
Представим, что на протяжении всего срока до достижения цели мы будем получать 10% годовых на сумму сбережений. Рассчитаем, за сколько лет нам удастся накопить 5 млн ₽.
Дано:
- Взнос: 10 000 ₽ в месяц (120 000 ₽ в год).
- Доходность: 10% годовых.
- Капитализация: один раз в год.
- Цель: 5 млн ₽.
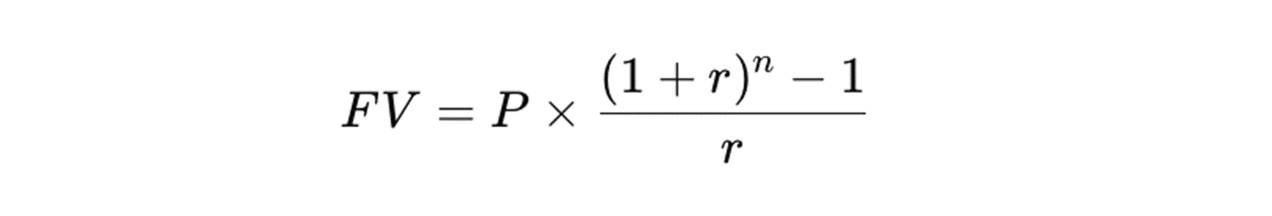
Используем формулу годового аннуитета

Где:
- FV — нужная сумма (5 млн ₽)
- P — взнос за год (120 000 ₽)
- r — процентный доход (10%)
- n — количество периодов
5 млн ₽ при доходности 10% и капитализации раз в год мы накопим приблизительно за 18–18,5 лет с учетом того, что деньги мы вносим не единым платежом а каждый месяц. При ежемесячной капитализации мы накопим еще быстрее.
Куда вкладывать деньги
Оптимально комбинировать инструменты и совмещать консервативные низкорисковые инструменты с высокодоходными, но более волатильными.
Консервативная часть для стабильного предсказуемого дохода:
- Вклады.
- Накопительные счета.
- Облигации федерального займа (ОФЗ) и корпоративные облигации с рейтингом АА- и выше.
Доходная часть для роста капитала на длинной дистанции:
- Акции.
- Фонды (ПИФы) — одни из самых надежных и доходных фондов — фонды ликвидности или денежного рынка.
Дополнительно для длинных накоплений можно открыть индивидуальный инвестиционный счет (ИИС), чтобы получать налоговые льготы и вычеты.
Как ускорить накопление
Если хочется прийти к 5 млн ₽ быстрее, чем за почти 20 лет, можно:
- Со временем увеличивать сумму. Например, откладывать не 10 000 ₽ в месяц, а 12 000 или 15 000 ₽. Это значительно сократит срок до достижения цели. Направлять в инвестиции премии, налоговые вычеты и другие дополнительные доходы.
- Выбирать инвестиционные инструменты с высокой доходностью, но стараться соблюдать баланс между доходностью и уровнем риска.
Также рекомендуем повышать взнос на уровень инфляции (5–10% в год), чтобы сбережения к сроку накопления не обесценились.
Что важно учитывать, пока копите на цель
Дистанция в почти 20 лет — длинная. За это время рынок может претерпеть много перемен и экономических кризисов. Поэтому стоит:
- Время от времени пересматривать соотношение активов в портфеле в зависимости от актуального уровня доходности. Например, если ставки по вкладам вырастут, разумно увеличить их долю.
- Не паниковать при падении рынка. Акции — волатильный инструмент, и даже активы надежных компаний могут снижаться в цене в определенные периоды. Лучше оценивать динамику цен на длинной дистанции в 10+ лет.
- Не пытаться угадать лучший момент покупки и продажи активов. Лучше придерживаться выбранной стратегии и периодически ее корректировать.
Лучше разобраться в том, как устроены инвестиции и как накопить крупную сумму без риска, вам помогут курсы Школы Московской биржи.
Вывод
Накопить 5 млн рублей, откладывая по 10 000 ₽ в месяц, — вполне реалистичная цель, если подходить к процессу системно. Без инвестиций путь к этой сумме растянется более чем на 40 лет, но при использовании сложного процента срок сокращается почти вдвое, если процентный доход составит 10% и еще сильнее, если он будет выше. Или если размер ежемесячных взносов удастся увеличить.
Но ключевую роль здесь играют не столько размер ежемесячного взноса, сколько регулярность, дисциплина и грамотное распределение средств между инструментами с разным уровнем риска и доходности.
Пока максимальные ставки достигают 17% годовых, рекомендуем значительную долю сбережений хранить на вкладах. Это предсказуемый инструмент с низким уровнем риска и страховой защитой в пределах 1,4 млн ₽ на каждый банк.
А если хотите больше знать о вкладах, понять, какими могут быть ставки, изучить особенности налогообложения, то Школа Московской биржи специально для вас создала курс «Вклады: как сохранить и приумножить сбережения». Пока он доступен бесплатно, торопитесь воспользоваться предложением.
Условия актуальны на момент публикации и могут меняться. Вклады застрахованы на сумму 1,4 млн ₽.
На нашем маркетплейсе можно подобрать подходящий вклад с помощью Калькулятора — по сумме и сроку:






























